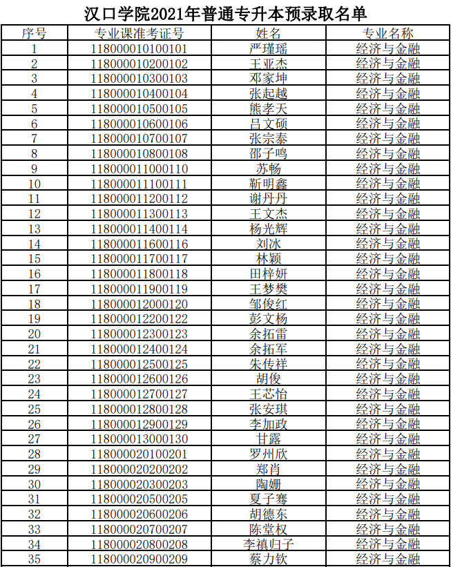
依据《汉口学院2021年普通专升本招生简章》规定的招生录取原则,结合省教育厅的有关文件要求,确定2021年汉口学院普通专升本招生预录取名单,现予以公示。公示期于2021年6月30日至7月6日。如有异议,请以实名书面形式联系我校教务处(邮箱:450472369@qq.com),逾期或未按要求申请者,不予受理。

公示无异议的预录取专升本学生名单经复核备案通过后,由学校发放录取通知书,时间另行通知。对拟录取考生的资格审查将贯穿整个招生全过程,如发现不符条件的考生,将取消录取资格。
联系人:朱老师 027-59410302 张老师 027-59410322
通讯地址:湖北省武汉市江夏区文化大道299号汉口学院教务处
邮编:430212
更多院校录取情况查看:湖北2021年各院校专升本招生录取情况及分数线汇总!

湖北专升本声明
(一)由于考试政策等各方面情况的不断调整与变化,本网站所提供的考试信息仅供参考,请以权威部门公布的正式信息为准。
(二)本网站在文章内容来源出处标注为其他平台的稿件均为转载稿,免费转载出于非商业性学习目的,版权归原作者所有。如您对内容、版权等问题存在异议请于我们联系,我们会及时处理。
文章来源于网络,如有侵权,请联系删除

新手指南
咨考老师
院校专业
考生答疑
网上报名
录取查询 

